13._卡方分布χ²-前世今生-Part4

卡方分布χ²-前世今生

χ的写法很像英文字母X,又像生物课本中的人的染色体符号,所以一开始我对这个希腊字母感觉非常陌生。

卡方分布是概率论与统计学中常用的一种概率分布。这个分布有些特别,因为它在不同的应用场景有不同的自由度。而且他也不用来建模的,在前面介绍过很多分布,比如二项分布,指数分布等,当在实际生活中遇到问题时,会尽可能把生活模型往这些分布模型上靠,但是卡方分布不是,他主要用来检验的,就是用来检验你网上靠的模型是不是准确。

如果做一个比喻,大家都去淘金,但是淘金要过一条河,前面介绍的各种分布(指数分布、正态分布、二项分布等)就是各种淘金者,而卡方分布就像一个摆渡者,他本身不去淘金,但是你要淘金,可以坐他的小船,他会渡你过岸。

卡方所以在不同的场景下使用不同的自由计算公式。如果是用χ²检验列联表的时候,自由度为:(行数-1)×(列数-1); 而如果用χ²检验进行拟合优度检验,那么自由度则为:k-1。

另外,卡方分布与正态分布变量相关,也就是说卡方分布其实源自于正态分布

我们查了下互联网资料,特别是维基百科中的资料索引,一直查下去,发现有很多人都支持是德国的大地测量学家F.R.Helmert在1875 年关于正态总体样本方差分布的研究中,是他首次描述了这种分布。

因此在德语中这个分布被称为Helmert'sche或“Helmert 分布”,中文翻译为 赫尔默特分布

后来,英国数学家 卡尔·皮尔逊 (Karl Pearson,以下简称Pearson)又独立地在1900年在Philosophical杂志的一篇论文中正式提出这个概念,并且他还和助手一起计算出了卡方值检验表,使得卡方分布得以实用化。

那为啥Pearson为啥会引用希腊字母和阿拉伯数字的组合——χ²作为这个概率分布的名字呢?

主要是1895年Pearson在伦敦大学学院时,他在《对数学进化论的贡献》(Contributions to the Mathematical Theory of Evolution)论文集中发表过一篇关于回归、遗传及Panimixia(混合物?)的论文,他在论文中将多元正态密度函数中的指数部分写成 -½·χ²,这个习惯Pearson一直沿用到了刚才说到的1900年的那篇文章。 如下图的考古

图片

考古如下 图片

在论文中Pearson 多处的推导用了正态分布的σ符号来表示标准差,这也就间接表示了卡方分布源自正态分布。

最后,又是R. A. Fisher 在1924年把卡方分布纳入了正态分布族。

从Pearson的案例切入对χ²理解

Pearson最早发表卡方分布的论文里,列举了日后在教科书里面经常见到的应用案例:样本的抽样比例分布,和理论的概率分布之间是否有显著差异。

就是文章开头里,统计量服从卡方分布的例子,我们在前面Part1Part2 里已经介绍过这个公式

χ2=i=1k(OiEi)2Ei\chi^2=\sum_{i=1}^k \frac{\left(O_i-E_i\right)^2}{E_i}

只不过他的第一个例子,是和Weldon教授一起搞的掷骰子场景。

这个例子比较长,我也打算从中慢慢的提取出卡方分布推导的切入点,而且可能切入点还不止一个。

频率已知,或假设先验已知:12个骰子的实验和轮盘实验

Pearson 和Weldon教授一起做了个实验:有12个骰子,连续扔26306次,Weldon教授提供了出现5点或6点的骰子数量的理论频数,以及他的学生们观测到的实际频数。

Pearson的论文并没有给出理论频数m的计算方法,而是直接给出了结果,所以第一次看的时候比较晦涩,我只好自己尝试补充了一下,如下表:

图片

比较一下上表中的理论频数值m的分布,和实际频数值m’的分布还是有些差异的,特别的,出现5次,6次实际的频数要比理论频数高一些(m’-m 分别为176和140)。

这种偏差是否就否定了投骰子的实验结果和理论的概率分布不一致?或者说m’不服从m分布?

此时可以通过计算卡方值进行测算,如下表:

图片

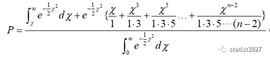
有13组数据,要代入一个P值的概率计算公式:

P=e12χ2(1+χ22+χ424+χ6246+χ82468+χ10246810)...(1.1)P=e^{-\frac{1}{2} \chi^2}\left(1+\frac{\chi^2}{2}+\frac{\chi^4}{2 \cdot 4}+\frac{\chi^6}{2 \cdot 4 \cdot 6}+\frac{\chi^8}{2 \cdot 4 \cdot 6 \cdot 8}+\frac{\chi^{10}}{2 \cdot 4 \cdot 6 \cdot 8 \cdot 10}\right) ...(1.1)

经过计算得到P=0.000016

这下第一个问题冒出来了,式1.1 是怎么来的? 后面会说

从这P值如此之小,其实可以直接做出结论,观测值的频数分布和理论频数分布在统计上的差异是不显著的。

还有一个直观的感受它们之间差异不显著的指标是期望值对比。

如果把上面实验结果的理论期望,也就是 Σ(理论频率×出现5或6点骰子的个数),和观测值的期望做一个对比,会发现差异也是非常的小。

理论期望经过计算=4,也就是

E(n)=n=012nC12n(16)n(46)12n2n=4\begin{aligned} E(n) & =\sum_{n=0}^{12} n \cdot C_{12}^n\left(\frac{1}{6}\right)^n\left(\frac{4}{6}\right)^{12-n} 2^n \\ & =4 \end{aligned}

而每一个观测的m’的频率,可以用m’/26306计算得到。

那么观测期望值经过计算=4.05238 (后面还有一堆小数)

E(n)=n=012nmn26306=4.05238\begin{aligned} E(n)^{\prime} & =\sum_{n=0}^{12} n \cdot \frac{m_n^{\prime}}{26306} \\ & =4.05238 \end{aligned}

直观的看着2个期望值已经差异很小了。 2个期望之间的差异如此之小,Pearson 认为可能就是理想中的骰子和实际中骰子有差异造成的。

1.1 公式是如何得来的

在实际应用中,搞清楚为什么要通过它来计算P值,是理解卡方分布的一个关键。

因为早期计算机还没普及之前,人们通过“查表”来估算P值,查的就是用这个式子计算出来的结果。

图片

下面介绍 Pearson 是怎么推出卡方分布的。

1. χ2的定义,从标准正态分布的一般情况入手。

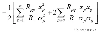
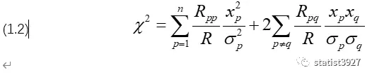
首先,令x1,x2,…xn为n维的误差系统,每一维变量的标准差为σ1,σ2…σn,误差变量之间的相关系数分别为r12,r13,r23,…rn-1,n。

并由下式构建成一个频率曲面:

图片

在上面的式子中,R是相关系数行列式

图片

Rpp是主对角线元素的余子式,

Rpq是非主对角线元素的余子式。

S1是求和SUM的意思, 它代表p为脚标的每个值的和;

S2是p和q为脚标的每对值的和(p≠q)。

S1和S2的表述,转换成我们现在熟悉的运算符号Σ,就是 图片

基于上面的信息,令 图片

在这里,χ2被最初地定义出来。

χ2被定义出来后,目的是要为后续的数值计算服务的。

但(1.2)式的计算量太大,尤其是一堆的行列式要算。因此必须将(1.2)式进行简化,不然在没有计算机的年代,数值计算会是一个噩梦。

(简化过程会在下一篇文章介绍)

对(1.2)进行观察,Pearson虽然没有显性化地介绍χ2被是服从标准正态分布的,但还是有个细节能看出来

这个细节就是 “误差”两个字,把误差(Error)代入(1.2),就发现它本质就是标准正态分布的Z值变换过程:

图片

而标准正态分布的Z值变换,正是

图片

这也是为什么很多B站UP主在介绍卡方分布时,会强调“卡方分布来自于标准正态分布”。

Pearson称χ2的(1.2)表达式可以看成是一个“广义椭球”。

且χ≥0,可覆盖[0, +∞]的空间。

χ2是如何定义的搞明白了,那它P值的关系,又怎么说呢?

当这个“椭球”开始挤压最终变成了一个球体的时候,X1,X2,X3……Xn则成为了这个球体的坐标。

这个误差系统观测到的频率(样本的)和整个误差系统频率(理论上的),它们之间的比率,也就是P值的最初含义。

可能看文字看得有些晕乎,那么看式子吧。

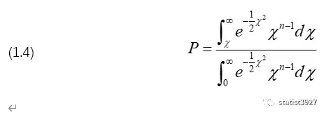
P由下式给出:

图片

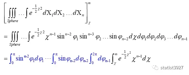
式中,分子是从χ→∞的n重积分,分母是0→∞的n重积分。

分子分母中正态分布的常数项2π-n/2,都被约掉了。

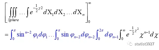
将这个n维球坐标系进行极坐标变换,由χ来表示极坐标系中的那个径向坐标r,那么整个式子就可以简化成如下:

图片

(1.3)→(1.4)的过程,Pearson没有展示出来,我在此补充一下

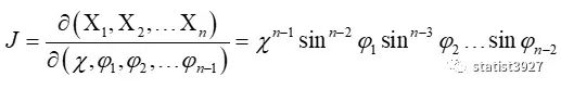
我去查了资料,(1.3)→(1.4)的过程,Pearson应该用的是超球坐标系下Jacobian(雅可比行列式)进行变换的。

设X1,X2,……Xn为笛卡尔坐标系下的n维球坐标

图片

由Jacobian行列式 图片

对体积元素(Volume element,dV)dX1dX2……dXn进行变换,得到 图片

将变换结果代入(1.3)式分子的体积元素,得

图片

将变换结果代入(1.3)式的分母的体积元素,同理可得

图片

分子分母中的蓝色部分,是可以约掉的。

所以(1.3)式才会简化得到(1.4)式。

基于前面的设定,χ≥0,P的范围就在 0≤P≤1。

但是,带着积分符号还是不方便计算,于是还要对(1.4)进行变型或简化。

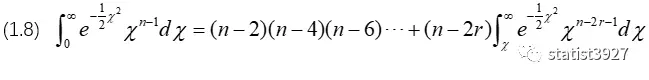
3、P值计算的进一步简化(可有限代数运算)

简化的目标:消除(1.4)式中的积分符号,或者最大限度的少用积分运算。

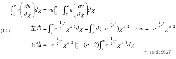
这里不得不佩服Pearson的分部积分法运算技巧。

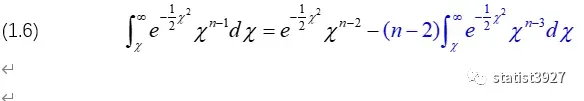
Pearson没有把推导的关键步骤给显性化,只是将很长的推导过程写成了2步,并提示是采用“分部积分法”做出来的。我在此补充完整的过程,因为这个分部积分法用了不止一次。

设原函数为:vu

构建分部积分的式子,为

图片

先研究(1.5)“右边”一个牛顿-莱布尼茨公式可以解决的部分

图片

使用n-2次洛必达法则,上式的蓝色部分可以得到

图片

由此,(1.5)中“左边“和“右边”整理后,可以写成

图片

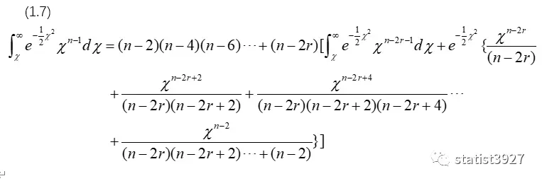
(1.6)中蓝色部分是可以按照上面的方法继续递推下去的,我在此仅展示递推一次:

图片

上式的最后一行,提取公因式(n-2)(n-4)(n-6)……(n-2r),最终得到

图片

以上(1.7)就是(1.4)中分子的变形。

但说实话,算到这一步,我当时一点儿也不觉得这个叫“简化”,式子还越算越多了!

那接下来我们把(1.4)中P等式的分母简化试试?

这个过程要容易些,因为积分符号的上下限是确定的0和∞,因此代入后会得到分母的变型:

图片

分子分母的变型都计算得到了,那直接(1.7)/(1.8)算一算?

别急,要分2种场景讨论分子和分母相除:

I: 当n是奇数的时候(提前告知,此时的n是考虑了自由度,下同):

(1.7)和 (1.8) 元素的个数大约是n的一半,于是令r=(n-1)/2,

将r代入(1.7)/(1.8),得到

图片

咦?这时候分母还是带积分符号啊?

说好的减少积分符号呢?

我在《为什么正态分布中有个π》的文章中,介绍了e-x2的积分是π1/2,因此知道了分母的这个特点后,上式可以直接变形为

图片

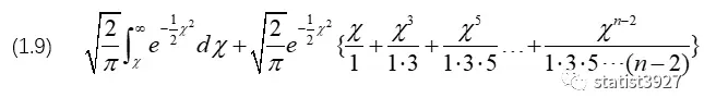
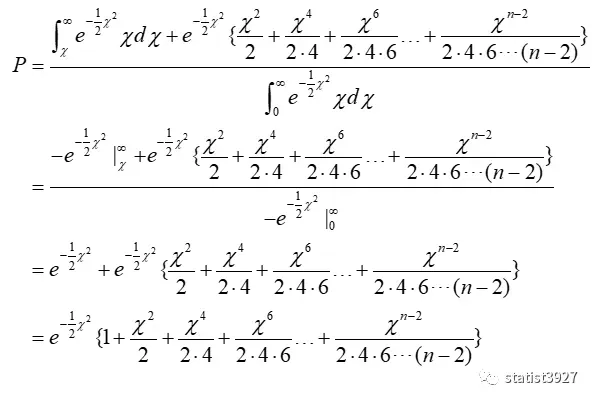
于是当n为奇数时,P的计算方法为如下:

图片

当n为偶数时,

令r=½n-1,将r代入(1.7)/(1.8),得到

图片

由此,得到n为偶数时,P的结果为

图片

此时(1.10)就是回答了文章第一部分中,式子(1.1)是怎么来的。

我觉得这个公式的编号,一个是1.1,一个是1.10,刚好完成一个闭环啊。

插入花絮:

在上面的过程中我也发现了Pearson论文里的一个小小问题:

他的推导过程有一步,被出版社漏印了积分元素dχ

如果能回到123年前的伦敦,我告知Pearson他这个小纰漏,他会不会很高兴地请我喝下午茶呢,呵呵:)

图片

(花絮完)

之前的推导,其实还有一个小尾巴问题的:

回顾之前的那个(1.1)式子

图片

它就是在上一篇文章中的首个例子:掷12个骰子,点数为5或6的骰子个数,共有13种场景。

为什么Pearson只计算n到了12?

或者他不选择当n为13时的计算式(1.9)?

这里涉及到了自由度的问题。

论文里Pearson简单介绍了下为什么要考虑自由度,他指出,

假设有n+1个分组,有n+1个误差观测频数 m1’,m2’……mn+1’,同时也存在n+1个理论频数m1, m2……mn+1,因此就会有n+1个观测误差和理论误差的差异,e1,e2,……en+1。

如果e1+e2+……+en+1=0,那么只要其中n个e确定,那么第n+1个e值就确定了。

所以在这种理论状态下,自由度就是n。

13组观测值,最后计算时要考虑自由度为12。

后来,我也继续查阅了一些后人关于卡方检验自由度的资料,补充一下:把掷骰子的实验场景看成是拟合优度的检验,这种场景下,它的自由度为13-1,也就是12。

到此,总算是搞明白χ2值和P之间的关系原来还分两种场景的!

接下来,我们继续简化计算(1.2)中χ2值

本文摘自微信公众号: 深入理解卡方分布(上)

深入理解卡方分布(中)