线性空间理论主要研究向量间的线性关系,前面介绍了向量的性质,单我们还关心向量的度量性质:向量的长度、距离和夹角等。我们也可用类比方法把这些几何概念移植到一般的线性空间中来,从而得到一类具有度量性质的线性空间——内积空间.实数域上的内积空间叫作欧几里得(Euclid)空间,简称欧氏空间.本节简要介绍欧氏空间的基本概念和基本性质.
近世代数对数学的整体思考(简版)
参考下图:一个个数字或者物体被称作元素,元素放在一起组成了集合(这个高中就学过),集合排在一起组成了空间,如果空间满足八大性质(交换律、结合律等)则被定义为线性空间。空间里元素的距离称为度量空间。我们需要一个尺子作为度量的基准,这个尺子被称为范数,含有范数的空间称为线性赋范空间,具备完备后称为巴拿赫空间。详见序言 近世代数对数学的整体思考

这里要强调一下封闭性,如果集合F里的数进行加减乘除仍在F里,则F称为封闭数域,比如“全体有理数”就是一个封闭数域,因为任何有理数的加减乘除仍在有理数里,但是“全体整数”就不是封闭数域,因为两个数相除有可能是分数。由空间的封闭圈可以引入群的概念。
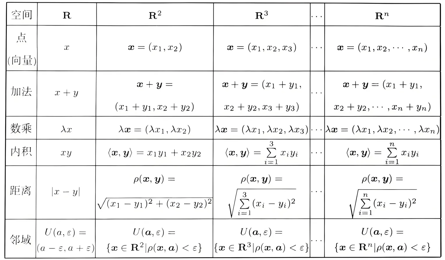
线性空间的一些关系表

数学空间的思考
数学中的“空间”是一个核心且丰富的概念,它远不止我们日常生活中理解的三维物理空间。数学家通过定义不同的“空间”,来为各种数学对象(如点、函数、序列等)提供一个具有特定结构和规则的“舞台”,以便系统地研究它们的性质。
下面我将从最直观的开始,逐步深入到更抽象的空间,为您梳理一个清晰的脉络。
一、核心思想:从具体到抽象
数学空间的发展史就是一个不断抽象化和一般化的过程。其核心是在集合的基础上,逐步添加“结构”或“规则”。
集合:最基础,只是一堆元素的汇集,没有其他任何规则。
+ 拓扑:添加了“邻近性”或“收敛性”的概念(比如“无限接近”某个点),得到拓扑空间。
+ 度量:添加了“距离”的概念,可以精确衡量两点远近,得到度量空间。
+ 线性:添加了“加法和数乘”的代数结构,元素之间可以线性组合,得到向量空间(线性空间)。
+ 内积:添加了“角度和长度”的概念,可以定义正交性和投影,得到内积空间。
很多常见的空间都是上述结构的组合。下图清晰地展示了这些核心空间之间的层次与演进关系:
{width=1000px}
二、详细空间介绍
让我们沿着上图的脉络,详细了解这些重要的空间。
1. 欧氏空间
描述:最直观和熟悉的空间,即我们通常所说的二维平面、三维空间的高维推广。它是有限维的实内积空间。
核心结构:
向量空间:元素是向量,可以进行加法和数乘(标量乘法)。
内积:定义了内积(点积)<u, v>,从而可以计算长度(范数 ||u|| = √<u,u>)和夹角(cosθ = <u, v> / (||u|| ||v||))。
2. 酉空间
描述:欧氏空间在复数域上的推广,是有限维的复内积空间。
核心结构:与欧氏空间类似,但所有标量都是复数,并且内积的定义需要满足共轭对称性(<u, v> = conjugate(<v, u>)),以保证向量的长度(范数)是实数。
应用:量子力学的数学基础。量子系统的状态向量就存在于一个酉空间(希尔伯特空间)中。
3. 希尔伯特空间
描述:完备的内积空间。它可以看作是“无限维的欧氏/酉空间”。
“完备”意味着空间中的柯西序列都收敛于空间内的一个点(没有“ holes”)。
元素可以是无限维的向量、函数等。
核心结构:内积 + 完备性。
例子:
所有满足 ∫|f(x)|² dx < ∞ 的函数构成的空间(L² 空间)。
所有平方可和的无限序列构成的空间(l² 空间)。
应用:泛函分析、量子力学、傅里叶分析的核心舞台。
4. 赋范空间 与 巴拿赫空间
赋范空间:定义了范数(长度)||·|| 的向量空间。它**不一定有内积(角度)**的概念。所有内积空间都是赋范空间(因为内积可以诱导出范数),但反过来不一定成立。
巴拿赫空间:完备的赋范空间。
例子:
欧氏空间 Rⁿ:既是希尔伯特空间,也是巴拿赫空间。
Lᵖ 空间 (p ≠ 2):定义了范数 ||f||_p = (∫|f(x)|ᵖ dx)^(1/p) 的函数空间,是巴拿赫空间但不是希尔伯特空间(因为其范数不能由内积诱导)。
所有连续函数在上确界范数 ||f||_∞ = sup|f(x)| 下构成的空间。
5. 度量空间
描述:定义了距离函数 d(x, y) 的集合。这是“远近”概念的最一般化。
核心结构:距离(满足正定性、对称性、三角不等式)。
关系:任何赋范空间都可以自然诱导出一个度量空间(定义 d(x, y) = ||x - y||)。但有度量不一定有线性结构(比如一个曲面本身可以作为度量空间)。
例子:
任何赋范空间。
具有通常欧氏距离的 Rⁿ。
一个曲面(如球面)配上测地线距离。
6. 拓扑空间
描述:最一般、最基础的“空间”概念。它只关心“邻近性”和“连续性”,而不再有“距离”这种精确度量。
核心结构:开集(或等价地,闭集、邻域等)。开集族定义了拓扑。
关系:任何度量空间都可以自然诱导出一个拓扑空间(以开球为基)。但存在非常奇怪的拓扑空间无法用任何度量诱导出来(非度量化拓扑空间)。
应用:是现代数学许多分支(如微分几何、代数拓扑)的基础语言。
三、其他重要的空间
除了上述主线,还有许多在特定领域极其重要的空间:
流形:局部类似欧氏空间的拓扑空间。例如,球面、环面在局部看起来都像是一个平面(二维流形)。光滑流形上可以做微积分,这是微分几何的研究对象。
黎曼流形:配备了黎曼度量的微分流形,在每一点都有一个内积,从而可以计算长度、角度、曲率等。它是广义相对论的时空模型。
函数空间:元素是函数的向量空间。例如,所有连续函数 C([a,b])、平方可积函数 L²、光滑函数等。它们是泛函分析和研究微分方程的解空间的核心。
样本空间:概率论中的基础概念,是一个集合,包含所有可能的随机试验结果。
仿射空间:没有“原点”概念的几何空间。只有点、直线和平行等概念,不能像向量空间那样直接做向量的加法。欧氏几何其实是在仿射空间中进行的。
射影空间:由仿射空间添加“无穷远点”而得到,在透视几何、代数几何和计算机图形学中非常重要。
总结来说,数学中的空间是一个层次分明、不断抽象的庞大体系。从具体的欧氏空间和酉空间出发,通过添加或削弱不同的公理(距离、长度、角度、线性结构、完备性、邻近性),数学家们构建出了各种各样的空间,以适应不同数学对象和研究方向的需要。
欧氏空间的定义
定义 设 V 为实数域 R 上的一个线性空间.对 V 中的任意一对元素 α 与 β ,都有 R 中唯一的一个实数与之对应,将此实数记作 (α,β) ,若此对应关系满足以下条件:
(1)对称性:(α,β)=(β,α),∀α,β∈V ;
(2)线性性:(kα+lβ,γ)=k(α,γ)+l(β,γ),∀k,l∈R , α,β,γ∈V ;
(3)正定性:(α,α)⩾0 且 (α,α)=0 的充分必要条件是 α=0 ,则称 (α,β) 为向量 α 与 β 的内积,定义了内积的实线性空间 V称之为一个欧几里得空间,简称欧氏空间.
长度
设 V 为欧氏空间,对 V 中任意向量 α ,令
∣α∣=(α,α), 称 ∣α∣ 为向量 α 的长度.
若 ∣α∣=1 ,则称 α 为单位向量.
另一方面,若 β 是 V 中的任一非零向量,令
β0=∣β∣1β, 那么 β0 是单位向量,构造 β0 的方法常称为向量的单位化.
关于欧氏空间的长度,有以下定理.
定理
设 V 为欧氏空间, α,β∈V,k∈R ,则
(1)∣α∣⩾0 ,且 ∣α∣=0 的充分必要条件是 α=0 ;
(2)∣kα∣=∣k∣⋅∣α∣,∀k∈K,α∈V ;
(3)[柯西-施瓦茨(Cauchy-Schwarz)不等式]∣(α,β)∣⩽∣α∣⋅∣β∣,∀α,β∈V ,当且仅当 α 与 β 线性相关时, ∣(α,β)∣=∣α∣⋅∣β∣.
证明:(1)与(2)显然.今证(3),若 α 与 β 线性相关,则 α与 β 共线,不妨设 β=kα ,于是
∣(α,β)∣=∣(α,kα)∣=∣k∣⋅∣(α,α)∣=∣k∣⋅∣α∣2=∣α∣⋅∣β∣....(4.9) 若 α 与 β 线性无关,则对任意实数 t 都有 tα−β=0 ,从而
0<(tα−β,tα−β)=t2(α,α)−2t(α,β)+(β,β),...(4.10) 这是关于 t 的一个二次三项式,由于对任意实数 t ,式(4.10)都大于零,故其判别式
(2(α,β))2−4(α,α)⋅(β,β)<0,...(4.11) 即得
∣(α,β)∣<∣α∣⋅∣β∣, 从而即得定理.
由柯西-施瓦茨不等式可得到一系列重要不等式.
向量夹角
设 V 为欧氏空间, α,β 为 V 中的非零向量.令
⟨α,β⟩=arccos∣α∣⋅∣β∣(α,β), 则称 ⟨α,β⟩ 为向量 α 与 β 的夹角.特别地,当 (α,β)=0 时称 α与 β 正交,记作 α⊥β .
零向量 0 可看作与 V 中任意向量都正交.
正交向量组
设 α1,α2,⋯,αs 为欧氏空间 V 中一组非零向量.若对任意 1⩽i,j⩽s ,当 i=j 时都有 αi⊥αj ,则称向量组 α1,α2,⋯,αs为一个正交向量组.
例设 α1,α2 是 Rn 中的非零向量,
β=α2−(α1,α1)(α2,α1)α1, 证明:向量 α1 和 β 正交.
证明:因为
(β,α1)=(α2−(α1,α1)(α2,α1)α1,α1)=(α2,α1)−(α1,α1)(α2,α1)(α1,α1)=0, 所以 α1 与 β 正交.
距离
设 V 为欧氏空间,对 α,β∈V ,令
d(α,β)=∣α−β∣, 称 d(α,β) 为向量 α 与 β 的距离,即向量 α 与 β 的距离等于向量 α−β 的长度.